FRIENDLY AFTERNOON WINTER LEAGUE 2025/26
Congratulations to Diss - Winter League Winners 2025-26!
| Club | P | W | L | D | F | A | Diff | Pts | ||
| Diss | 14 | 11 | 3 | 0 | 692 | 507 | 185 | 100 | ||
| Thetford | 14 | 8 | 5 | 1 | 679 | 510 | 169 | 89 | ||
| Harling | 14 | 8 | 4 | 2 | 660 | 547 | 113 | 81 | ||
| Shropham Green | 14 | 6 | 8 | 0 | 562 | 640 | -78 | 63 | ||
| Banham | 14 | 6 | 7 | 0 | 542 | 604 | -62 | 58 | ||
| Hingham | 14 | 6 | 7 | 0 | 548 | 594 | -46 | 56 | ||
| Shropham Red | 14 | 3 | 10 | 1 | 570 | 652 | -82 | 52 | ||
| Watton | 14 | 5 | 9 | 0 | 503 | 702 | -199 | 51 | ||
| Results | Scorecards | |||||||||
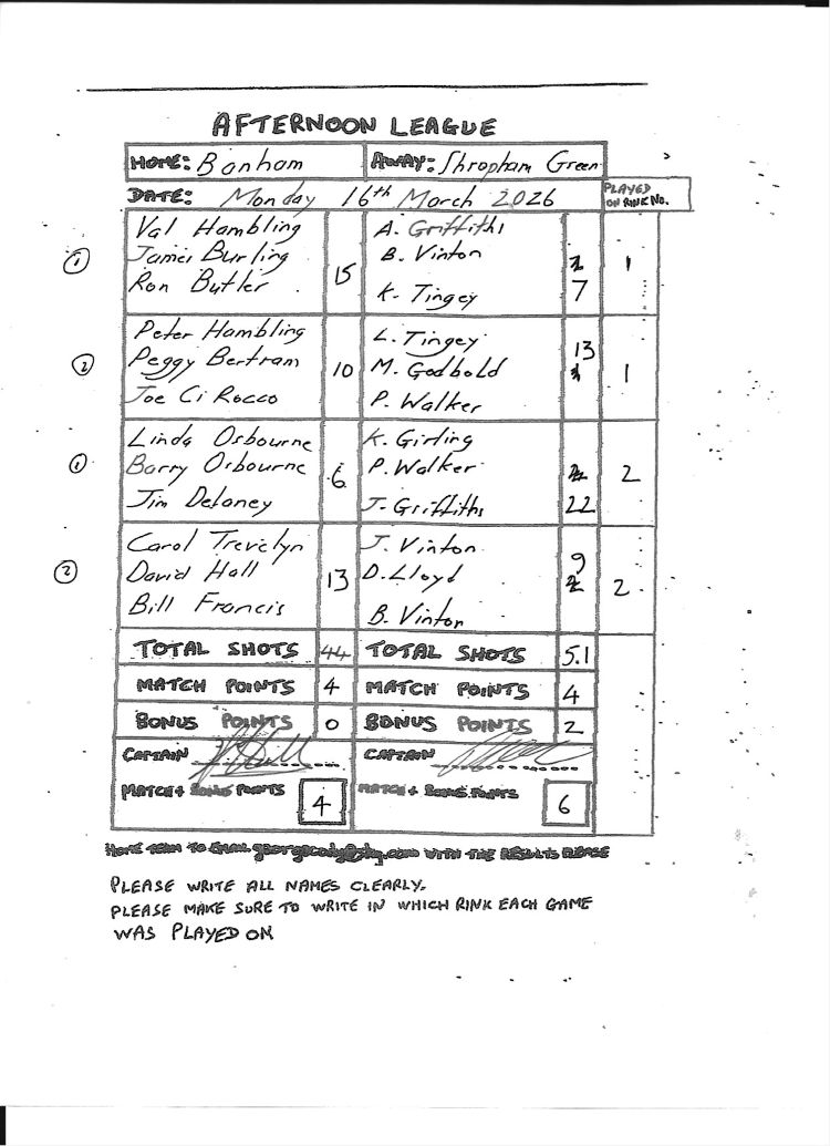
| 16 March | Banham | 4(44) | v | Shropham Green | 6(51) | images/ScoreCards/16Mar26.jpg | ||||
| 13 March | Thetford | 5(37) | v | Harling | 5(37) | images/ScoreCards/13Mar26.jpg | ||||
| 11 March | Diss | 10(73) | v | Watton | 0(22) | images/ScoreCards/11Mar26.jpeg | ||||
| 09 March | Shropham Green | 4(39) | v | Banham | 6(46) | images/ScoreCards/09Mar26.jpeg | ||||
| 06 March | Diss | 8(47) | v | Hingham | 2(40) | images/ScoreCards/06Mar26.jpg | ||||
| 24 February | Harling | 8(60) | v | Shropham Red | 2(43) | images/ScoreCards/24Feb26.jpg | ||||
| 23 February | Banham | 8(52) | v | Watton | 2(33) | images/ScoreCards/23Feb26B.jpg | ||||
| 23 February | Diss | 10(70) | v | Shropham Green | 0(24) | images/ScoreCards/23Feb26.jpeg | ||||
| 20 February | Thetford | 7(50) | v | Shropham Red | 3(34) | images/ScoreCards/20Feb26.jpg | ||||
| 19 February | Harling | 7(58) | v | Hingham | 3(41) | images/ScoreCards/19Feb26.jpg | ||||
| 18 February | Watton | 8(40) | v | Shropham Red | 2(32) | images/ScoreCards/18Feb26.jpg | ||||
| 16 February | Banham | 4(39) | v | Hingham | 6(53) | images/ScoreCards/16Feb26.jpg | ||||
| 13 February | Thetford | 8(52) | v | Diss | 2(41) | images/ScoreCards/13Feb26T.jpg | ||||
| 13 February | Harling | 10(75) | v | Watton | 0(20) | images/ScoreCards/13Feb26.jpg | ||||
| 06 February | Shropham Red | 4(47) | v | Hingham | 6(52) | images/ScoreCards/06Feb26.jpeg | ||||
| 04 February | Hingham | 9(53) | v | Shropham Red | 1(32) | images/ScoreCards/04Feb26H.jpg | ||||
| 04 February | Watton | 2(33) | v | Thetford | 8(46) | images/ScoreCards/04Feb26.jpg | ||||
| 03 February | Harling | 7(44) | v | Banham | 3(35) | images/ScoreCards/03Feb26.jpg | ||||
| 28 January | Diss | 6(39) | v | Shropham Red | 4(38) | images/ScoreCards/28Jan26.jpg | ||||
| 26 January | Banham | 4(36) | v | Diss | 6(37) | images/ScoreCards/26Jan26.jpg | ||||
| 21 January | Watton | 10(59) | v | Shropham Green | 0(30) | images/ScoreCards/21Jan26.jpg | ||||
| 20 January | Harling | 8(52) | v | Thetford | 2(36) | images/ScoreCards/20Jan26.jpg | ||||
| 19 January | Shropham Green | 10(49) | v | Hingham | 0(42) | images/ScoreCards/19Jan26.jpeg | ||||
| 16 January | Shropham Green | 4(39) | v | Shropham Red | 6(44) | images/ScoreCards/16Jan26.jpg | ||||
| 14 January | Watton | 1(29) | v | Hingham | 9(39) | images/ScoreCards/14Jan26W.jpg | ||||
| 14 January | Diss | 4(39) | v | Harling | 6(41) | images/ScoreCards/14Jan26.jpg | ||||
| 09 January | Thetford | 10(62) | v | Shropham Green | 0(20) | images/ScoreCards/09Jan26.jpg | ||||
| 19 December | Shropham Red | 6(47) | v | Thetford | 4(38) | images/ScoreCards/19Dec25.jpg | ||||
| 16 December | Harling | 8(45) | v | Shropham Green | 2(37) | images/ScoreCards/16Dec25.jpg | ||||
| 15 December | Hingham | 4(44) | v | Watton | 6(43) | images/ScoreCards/15Dec25.jpg | ||||
| 05 December | Shropham Red | 8(55) | v | Watton | 2(28) | images/ScoreCards/05Dec25s.jpg | ||||
| 01 December | Banham | 8(51) | v | Harling | 2(36) | images/ScoreCards/01Dec25B.jpg | ||||
| 01 December | Hingham | 1(39) | v | Shropham Green | 9(51) | images/ScoreCards/01Dec25.jpg | ||||
| 28 November | Thetford | 10(66) | v | Hingham | 0(26) | images/ScoreCards/28Nov25.jpg | ||||
| 26 November | Watton | 10(51) | v | Harling | 0(32) | images/ScoreCards/26Nov25W.jpg | ||||
| 26 November | Diss | 10(57) | v | Banham | 0(28) | images/ScoreCards/26Nov25.jpg | ||||
| 24 November | Banham | 6(49) | v | Thetford | 4(48) | images/ScoreCards/24Nov25.jpg | ||||
| 19 November | Watton | 1(31) | v | Diss | 9(53) | images/ScoreCards/19Nov25.jpg | ||||
| 17 November | Banham | 6(48) | v | Shropham Red | 4(41) | images/ScoreCards/17Nov25B.jpg | ||||
| 17 November | Shropham Green | 6(36) | v | Harling | 4(35) | images/ScoreCards/17Nov25.jpg | ||||
| 17 November | Hingham | 2(30) | v | Diss | 8(57) | images/ScoreCards/17Nov25H.jpg | ||||
| 14 November | Shropham Red | 2(34) | v | Shropham Green | 8(53) | images/ScoreCards/14Nov25.jpg | ||||
| 10 November | Diss | 8(44) | v | Thetford | 2(39) | images/ScoreCards/10Nov25.jpg | ||||
| 07 November | Shropham Red | 5(43) | v | Harling | 5(44) | images/ScoreCards/07Nov25.jpg | ||||
| 04 November | Harling | 7(61) | v | Diss | 3(36) | images/ScoreCards/04Nov25.jpg | ||||
| 03 November | Hingham | 8(47) | v | Thetford | 2(36) | images/ScoreCards/03Nov25.jpg | ||||
| 31 October | Shropham Red | 3(47) | v | Banham | 7(54) | images/ScoreCards/31Oct25.jpg | ||||
| 27 October | Shropham Green | 2(32) | v | Diss | 8(45) | images/ScoreCards/27Oct25.jpg | ||||
| 24 October | Thetford | 9(67) | v | Watton | 1(23) | images/ScoreCards/24Oct25.jpg | ||||
| 20 October | Shropham Green | 2(33) | v | Thetford | 8(42) | images/ScoreCards/20Oct25.jpg | ||||
| 13 October | Shropham Green | 10(68) | v | Watton | 0(33) | images/ScoreCards/13Oct25.jpg | ||||
| 13 October | Hingham | 6(42) | v | Harling | 4(40) | images/ScoreCards/13Oct25H.jpg | ||||
| 03 October | Shropham Red | 2(33) | v | Diss | 8(54) | images/ScoreCards/03Oct25.jpg | ||||
| 01 October | Watton | 8(58) | v | Banham | 2(36) | images/ScoreCards/01Oct25.jpg | ||||
| 26 September | Thetford | 10(60) | v | Banham | 0(24) | iimages/ScoreCards/26Sep25.jpg | ||||

